乌鸦传媒
欢迎访问
学校主页
乌鸦传媒
乌鸦传媒概况
乌鸦传媒简介
现任领导
机构设置
师资队伍
专兼职教师
研究生导师
客座教授
思政课教学
本科生思政课
研究生思政课
实践教学
形势与政策
学科建设
一级硕士点
研究机构
科学研究
学术动态
研究生培养
培养方案
制度文件
学生活动
招生就业
招生信息
就业信息
党群工作
党建工作
团学风采
校友分会
工会之家
合作交流
对外交流
社会服务
理论园地
1
2
3
4
当前位置:
乌鸦传媒
·
招生就业
·
招生信息
· 正文
招生信息
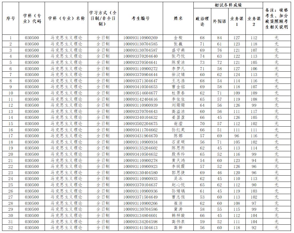
乌鸦传媒 2023年硕士研究生招生考试复试第一志愿考生名单
来源:
发布日期:2023/03/24
点击量:
乌鸦传媒
2023年3月24日
版权所有:乌鸦传媒-乌鸦传媒视频_乌鸦传媒直播 电话010-88803302 京公网安备 110402430037 号